2023년 공동육아와공동체교육 연간 기부금 모금액 및 활용실적 명세서
페이지 정보
작성자 운영자 작성일24-05-08 16:50 조회257회첨부파일
-
연간기부금모금액 및 활용실적 명세서-2023.pdf
(310.7K)
321회 다운로드
DATE : 2024-05-08 16:50:05
본문
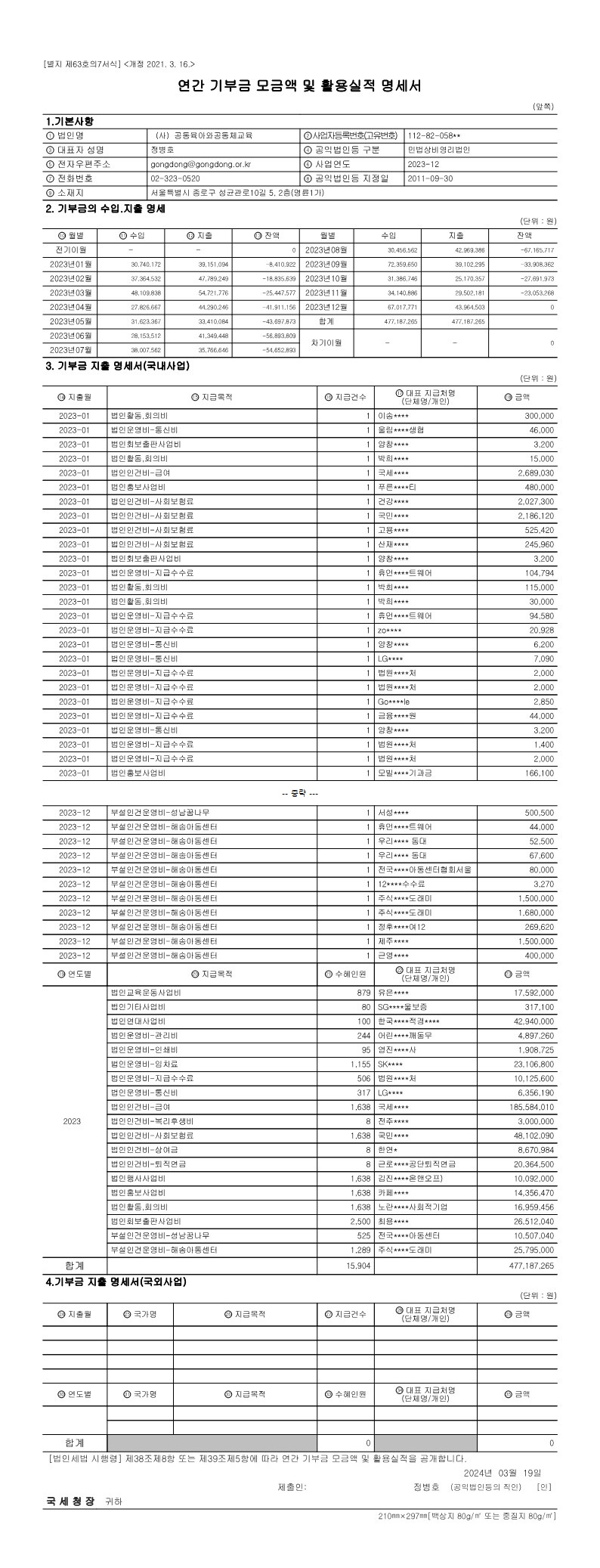
2023년 연간 기부금 모금액 및 활용실적 명세서입니다.
상세 내역은 첨부파일을 받아서 확인해주시기 바랍니다.

댓글목록
등록된 댓글이 없습니다.

> 단체소개 > 재정보고