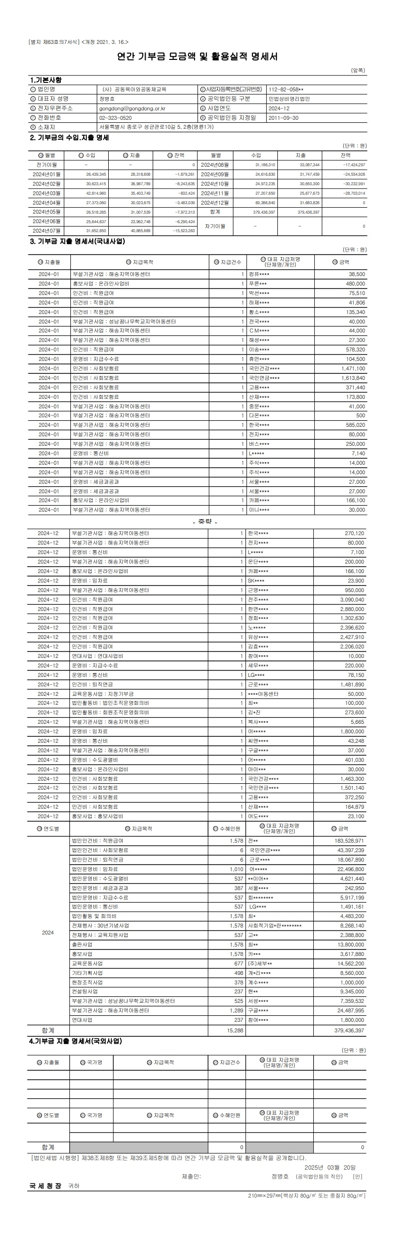
2024년 공동육아와공동체교육 연간 기부금 모금액 및 활용실적 명세서
페이지 정보
작성자 운영자 작성일25-03-20 17:15 조회217회첨부파일
-
연간기부금모금액 및 활용실적 명세서.pdf
(239.5K)
104회 다운로드
DATE : 2025-03-20 17:15:20
본문

댓글목록
등록된 댓글이 없습니다.

> 단체소개 > 재정보고